说实话,《天天打怪升级》这款游戏确实没啥新意,就是个典型的放置类挂机游戏,简单到几乎让人发疯。刷怪升级、爆装备,玩法老套,但胜在操作门槛低,适合想打发时间的玩家。最让我觉得有意思的是它的画风,虽然粗糙,但一看就是手绘的,这点挺有温度的。
破解版的出现让游戏更香了,无限资源谁不爱呢?尤其是金币、打造材料这些,简直是为懒人设计的。不过说实话,这种无尽头的游戏模式真的考验耐心,越往后敌人越强,升级速度却越来越慢,玩到最后可能会有点心累。
流派和藏品系统算是个小亮点,虽然复杂,但给了玩家更多选择的空间。特别是速转流,对大佬来说可能更刺激一些,但对于新手来说,还是建议先从简单的玩法入手。
总的来说吧,这是一款适合休闲娱乐的游戏,如果你喜欢这种简单粗暴的放置玩法,偶尔用来放松心情还挺不错的。不过要长期玩下去,可能得做好心理准备,毕竟游戏的尽头在哪儿谁也不知道呢!

天天打怪升级最新破解版亮点
打怪升级赚金币,放置挂机乐无边;放松减压是利器,像素古怪奇葩风。
轻松休闲无内购,大人小孩都喜欢;
装备打造无极限,稀有传说史诗级。
转生精魄分解符,技能天赋种族服;
收集合成大满足,伙伴召集来帮忙。
我爱打怪爱升级,大爱放置爱挂机;
工作休闲两不误,闲情时光添精彩。
天天打怪升级简单易懂的流派攻略
进入游戏我们首先得了解游戏的几种流派,。首先是伙伴流,伙伴有着高额的基础伤害,下限高低,上限高(1.7.37版本目前如此),由于攻速的原因,伙伴流效率并不高,只适合新手入门各种藏品没起来时的选择,或者是点击流到了高层后推关使用,在当前版本不推荐使用,伙伴流装备首先洗全部伙伴攻击优先,远程或者近战伙伴攻击其次,宝藏金币勉强能用,暴击和爆伤对伙伴无加成。
其次是点击速转流,也就是转生后快速推100关然后转生,该流派是目前效率最高的流派,不过对藏品和装备有一定的要求,最基本的要求是任意门(增加转生后关卡)200级以上,装备和藏品有100%暴击率,暴击率点击粉嘟嘟(主角)头像能看。

有一定的暴击伤害和点击伤害,能让你转生后快速推100关以上,用最少的时间获取最大的利益。
最后是点击高转流,这是在伙伴流和速转流中间的一个补充,该流派的基本要求就是暴击率100%,然后尽量的从装备和藏品上获取暴击伤害和点击伤害,该流派的优势是易成型,由于关卡越高获取的精魄越多,推到1200关能获得40000以上的精魄。这是在任意门200之前不错的选择。
另外游戏中还有不少别的流派,每个人都有每人的玩法,只不过这三种是目前主流流派,你愿意每天就上来收收菜玩离线银行流也行,没有一个固定的流派,只有想不到的流派。(ps当前银行作用是给大佬用的,新手慎用。)
天天打怪升级藏品攻略
当前版本的藏品总数大概是28个左右,目前抽最后一个藏品大概需要500万精魄,所以一般情况不会开启过多没用藏品,而是将没用的藏品碎了重新抽取。
注意击碎需要的钻石越来越多,等半小时就会下降。
很多新手进来主要是不知道当前版本那些藏品是有用的,那些是没用,以下是当前版本必备的藏品。

任意门,加重生之后的关卡,当前版本的神级藏品,也是目前大佬们主流攻破的藏品,为速转提供基础关卡数,然后快速通过100关重生获取精魄,建议主升。猜猜下图[路人甲.]大佬门的等级。


BP机,当前版本属性是1级加0.4%转生精魄获取,在高转流效果比任意门更高,速转流退居二把手,是一个不错的选择。建议比任意门低个100-150级。

饭卡每50关减少一个小怪,满属性能减少所有的小怪,只有boss,但是由于是特殊神器,150以上相当难升,建议先150,大后期再慢慢升级。(特殊神器升级需要的精魄在文章底部,150级之前和普通神器差不多)

辣条和可乐(快乐水),功能和饭卡类似,饭卡是减怪,这两个是跳关,建议特殊神器辣条150级,可乐比BP机低一些。

鞋子,112就好,暂时112配合相位药水就能最大化出怪,无视我多点的几级。

书夹子,减少藏品升级消耗,由于是特殊神器,前期150即可。
以上就是所有流派必备的藏品,接下来放一波其他藏品图鉴,感谢[路人甲.]大神支援的图鉴。


以上藏品按个人所需去抽取,建议所需的藏品等级100-150,注意加暴击率的匣子是特殊神器。
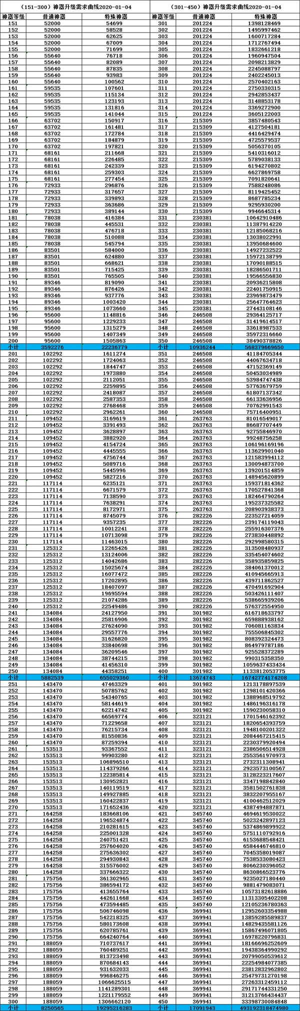
最后放上藏品升级的图,感谢课代表[TIKIM]提供的数据。
更新日志
v1.8.78版本关闭多国语言功能-强行指定简体中文(全做好后再开)
重做银行功能 解决手机时间异常造成的无法获得银行利息
银行只有在联网状态下才可以结算
调整装备爆出
装备掉落打造的物品改成高关卡也可以掉落低关卡的装备
重置一下限时传说礼包
一些错误的修正






































共有 0条评论