这个钢筋大师钢筋翻样app是由上海爱星陈软件有限公司开发的一款专业工具软件,主要面向土木工程领域的工作人员。它提供了多种实用功能,比如快速查询钢筋重量、尺寸,计算锚固搭接长度,还能进行钢筋代换和材料强度查询等。软件界面简洁,操作方便,特别适合需要频繁查阅图集或计算的施工人员和设计人员使用。
我觉得这个app挺实用的,尤其是对刚入行的学生来说,它能帮助他们快速熟悉钢筋规格和相关计算方法。软件还支持收藏常用项目,随时查阅,节省了很多时间。而且它的高级功能一次购买就能永久使用,这对于长期需要的人来说是个不错的选择。如果你从事土木工程行业,这个工具可能会让你的工作更高效!
钢筋大师钢筋翻样app是由上海爱星陈软件有限公司专门为土木工作人员开发的一款钢筋翻样打造的工具类软件。用户可以通过软件来进行钢筋下料长度的计算、钢筋锚固搭接长度查询、材料重量强度查询和钢筋等强代换等功能,非常适合在钢筋翻样的工作中使用,同时也可以帮助现场施工人员、结构设计人员以及土木工程工作者进行101图集的查询。对比市面上符合建筑规格的钢筋进行重量和尺寸计算,软件根据钢筋种类罗列出钢筋的公称直径、截面面积、钢筋的单重以及预应螺纹等,还有混凝土强度等级对照表,便利施工人员进行工程下料,也是土木工程专业学生的一个强大辅助助手。如果你也对软件感兴趣的话快来下载体验吧!
软件功能
1、快速查询功能
可根据关键字和图集页码直接搜索定位到相关内容。
2、保存收藏功能
收藏常用项目,可以随时查阅。
3、计算功能
计算钢筋重量、锚固搭接长度和钢筋代换等。
4、特殊模块
解锁一些比较特殊的构造做法。
5、显示规范页码功能
此功能开启后,在每一个子程序中都可以显示该条文所在图集的页码。
钢筋大师钢筋翻样app如何查询不同钢筋的公称直径?
1、下载并打开钢筋大师钢筋翻样app,点击“一般构造及计算”。
2、点击“钢筋重量及尺寸查询”。
3、点击“一般钢筋”选项即可查询到不同钢筋的公称直径。
钢筋下料长度计算说明
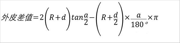
1、钢筋弯曲外皮差值计算
当弯曲角度α≤90°时
α≤90°时钢筋弯曲外皮差值计算示意图:
当弯曲角度90<α≤180°时
如上图所示,可以根据角度合并进行计算,比如135°弯曲钢筋可以看做90°+45°。
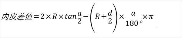
2、钢筋弯曲内皮差值计算
当弯曲角度α≤90°时
钢筋弯曲内皮差值计算示意图:
当弯曲角度90<α≤180°时,也和外皮时一样可以根据角度合并进行计算,比如135°弯曲钢筋可以看做90°+45°。
软件已经集成了内外皮差值的查询,在“一般构造及计算→钢筋下料长度→钢筋外皮尺寸的差值/钢筋内皮尺寸的差值”中可以找到。
点击进去之后是常用的差值表以供快速查询,点击任一行可以进入子程序进行自定义参数的计算,非常方便~
高级功能
(1)快速查询功能:可根据关键字和图集页码直接搜索定位到相关内容;
(2)保存收藏功能:收藏常用项目,可以随时查阅;
(3)计算功能:计算钢筋重量、锚固搭接长度和钢筋代换等;
(4)特殊模块:解锁一些比较特殊的构造做法;
(5)显示规范页码功能:此功能开启后,在每一个子程序中都可以显示该条文所在图集的页码。
注:高级功能一次购买,永久使用,未来不再收取相关费用。
更新日志
v2.4.4版本
2.4.4 更新日志
1.[优化]二级菜单明示已收集个人信息清单
2.[优化]注册登录界面优化

































共有 0条评论