奥特曼融合激战手机版是一款结合AR技术和卡通元素的手机游戏,玩家可以通过摄像头将奥特曼加入真实场景中,体验激烈的战斗和丰富的策略玩法。游戏中有多种奥特曼可供选择,每个都有独特的技能,玩家可以根据战斗需求灵活切换。游戏还支持1V1对战和其他多人模式,加上各种装备和武器系统,让战斗充满变化和乐趣。画面精美,操作简单,还原了经典的奥特曼IP元素,适合喜欢策略战斗和AR游戏的玩家。作为奥特曼迷,我觉得这款游戏既有趣又有挑战性,尤其在任务和活动设计上让人欲罢不能。虽然目前版本已经修复了一些Bug,但希望未来能增加更多创新玩法,让体验更上一层楼!
奥特曼融合激战手机版最新版是一款热门的ar游戏,英文名为ULTRA FILE,它将卡通和AR技术结合在一起,让玩家能够体验到令人兴奋的AR体验。玩家可以使用智能手机的摄像头来捕捉周围的景象,然后将奥特曼从摄像头中“加入”场景中,并在他们的真实世界中进行运动活动。
在游戏中,玩家可以体验激烈的战斗,奥特曼融合激战还有丰富的可定制选项。玩家可以选择不同的装备,独特的武器,以及不同的奥特曼,每个奥特曼拥有独特的技能和属性,根据不同的战斗情况和敌人类型选择合适的奥特曼进行战斗,以增强战斗实力。
此外,奥特曼融合激战游戏内还支持增加不同技能,并提供各种游戏礼物,可以让玩家获得更多优势。它还可以帮助玩家扩大自己的奥特曼库,丰富自己的游戏经验。玩家还可以使用其定制的武器,根据不同的挑战进行战斗,也可以和其他玩家参与1V1战役,与敌人进行展开一场激战,利用奥特曼的强大技能来抵制敌人的进攻,保卫地球安全。喜欢玩奥特曼融合激战的朋友千万不要错过!来试试看吧~
游戏特点
1、精美的游戏画面:游戏采用了精美的2D画面,即使是在小屏幕上也能过非常流畅的游戏体验
2、多人在线模式:玩家可以在游戏中与其他玩家组成队伍进行多人战斗,更好的体验游戏的快感和紧张感。
3、多种奥特曼选择:玩家可以解锁多款奥特曼,每一款奥特曼都有独特的技能和属性,给玩家留下了更多的选择。
4、多样化的游戏玩法:游戏中不仅有挑战BOSS和闯关模式,还有丰富多彩的任务和活动,保证了玩家的游戏体验。
5、高自由度的操作模式:游戏的操作模式简单易用,玩家可以通过屏幕上简单的滑动或者点击完成各种操作,极大的提升了游戏的自由度和趣味性。
6、原汁原味的《奥特曼》IP:游戏完美还原了《奥特曼》的经典元素,包括各个奥特曼的外形、名字、技能等,让玩家可以更深入地感受到这个经典动漫。
奥特曼融合激战手机版卡片人物详解
1、奥特曼融合激战 耀闪新光2弹
2、奥特曼融合激战 耀闪新光1弹
3、奥特曼融合激战 曙光再现1弹
奥特曼融合激战进阶攻略大全
游戏版本进化——
卡片稀有度——
各弹CP卡刷取效果——
属性克制——
全角色属性及爆发类型——
战斗及辅助技能——
开局固有牵绊——
固有牵绊详细加成——
同人牵绊——
牵绊必杀技——
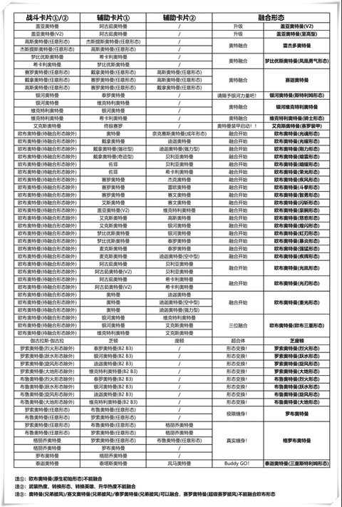
奥特融合及合体——
转换槽及必杀槽——
游戏亮点
1、完成奥特曼战斗对决,超多灵活地战斗技巧,独具特色超多挑战
2、很多的战术等你去布置,酷炫华丽的特效释放将会时刻闪耀你的双眼
3、战斗比你想象的更加精彩,因为你遇到的对手都很强他们可都是超级怪兽
更新日志
v2.0.0
修复了已知bug






































共有 0条评论