
游戏特色
1、国王专注的凝视
啊,我光辉璀璨的王国!在这片土地上,农民辛勤劳作,矿工勤恳采矿,骑士认真训练……但只有我盯着他们的时候,他们才会全力以赴!我的目光就是律法,我注视的地方蓬勃发展,可若是我移开视线,又会如何?怠惰!混乱!我必须做出明智的选择:是监管农田,获取食物?监管矿脉,攫取财富?还是监管兵营,强化防御?有了足够的资源,我便可以扩大全知全能的视线范围,保证我的王国繁荣发展……确保我的统治之下无人懈怠!
2、指挥王国的命脉
淡水、小麦、石头、煤炭、白银——一切资源都会让我的帝国更加壮大!农场为人民提供食物,矿场为我的野心提供资源,工坊锻造强大的防御设施。我是应该训练弓箭手,或是加固城墙,还是研究魔法的力量?即使是我的城堡,遭到敌人袭击时也需要修缮!每个决定都会影响我的统治,只有精心管理的王国,才能在风暴之中存活。
3、Roguelite风格的王国
统治绝非易事!从诅咒墓地到地狱深处,每片土地都会为我带来新的考验,迫使我不断适应。不过,每次失败都是弥足珍贵的教训!身为一名真正的Rougelite大师,我的努力会为我带来永久升级加成,解锁新能力、更强大的防御、更加出色的战略,为我的下次统治做好准备。真正的国王不仅仅只懂得统治,更会不断进化!每次新的尝试,都会向无可媲美的传奇更近一步!
4、无法预知的战斗
每片战场都隐藏着无法预知的威胁,敌人由意想不到的将军领导,需要独特的战术才能击溃。想要征服所有敌人吗?这恐怕要多次尝试才能成功!不过,无须担心!我的宫廷成员包括骑兵专家、奥术贤者,以及足智多谋的战略大师。有了他们的智慧,以及我坚定不移的凝视,胜利必将指日可待!
王之凝视游戏新手攻略
1、双击“The King is Watching、exe”文件,即可启动游戏,开启你的王国之旅。
2、进入游戏后,在界面右侧找到中国国旗图标并点击,就能将游戏语言切换为中文,方便你更顺畅地了解游戏内容。
3、语言设置完成后,点击“开始游戏”选项,正式踏入王国建设的世界。
4、游戏启动后,会先出现新手教程,它会带你快速熟悉游戏的基本操作和核心玩法。
5、请跟随新手教程的指引一步步操作,这能帮助你快速上手,避免在初期因不熟悉机制而走弯路。
6、在游戏过程中,你可以建造并放置多种设施,比如种植粮食的麦田、供农民居住的小屋、用于防御的箭塔等,这些都是建设王国的重要基础。
7、发展期间,会有哥布林等敌人前来袭击你的王国,你需要合理布置防御、指挥士兵抵御进攻,同时持续发展经济与军事,让王国逐渐壮大起来。
王之凝视游戏决策理论
在第一章中将逐步分析静态单位战斗力,多单位近战兵力,多单位混合兵力,以及敌方前期常规进攻集群战斗力表格和我方常规应对策略,最后将介绍长流程战斗的动态兵力。
第一节:单位战斗力静态衡量
在王之凝视中,预言为重要机制,可以选择接下来三个波次中敌人的数量和种类,并由此决定获得的奖励。不言而喻的,越困难的敌人,奖励越丰富。那如何衡量敌我双方的战斗力,可以确保获得最大奖励而不至于兵败如山倒就成为一个有价值的研究内容。
在本节将介绍单位战斗力静态衡量方法及其合理性。
静态指不补充额外兵员,仅依靠存量单位进行战斗的状态。实战中我们可以不断补充兵员,但为了打下理论基础,我们由简入繁,先分析静态战斗。
以经典的例子开始,我方新兵单位为农民,生命值35,攻击力10。敌方此时常见单位为哥布林强盗,生命值50,攻击力8。(略去难度buff)
在战斗过程中,双方攻击并损失生命,我方农民五轮攻击造成50点伤害并击杀对方。对方在第四轮攻击时,造成32点伤害,不能击杀。第五轮造成理论伤害40点,击杀我方。不难发现,哥布林强盗与农民战斗力大致相等,如果不考虑先后手差异,双方可以战至平局。因此,一个合理的静态衡量方法,应该使得二者战斗力接近。
但也不能完全相同,考虑到高级单位的存在,虽然35生命值面对8点攻击力存在过量伤害的优势区间,可以多输出一个轮次。但是如果面对哪怕只高1点的9点伤害,该优势区间将不复存在。因此农民的静态战斗力应该略低于哥布林强盗,并且个位数的数值变化对战斗力影响相当大。
考虑到上述原因,我们采用常见的单位战斗力乘法公式。
单位战斗力=生命值✕伤害
显然的,如果采用加法,将不能体现8点和9点伤害对于农民的巨大差别。如(35+10)/(50+8)和(35+10)/(50+9),相对百分比过于接近,故而弃之不用。
第二节:兰彻斯特平方律与多单位近战兵力计算
兰彻斯特平方律内容如下:
设在近代战斗条件下,红、蓝两军交战,双方各自装备同类武器,相互通视,并在武器射程范围内进行直接瞄准射击;双方每一战斗单位射击对方每一战斗单位的机会大致相同。将双方在战斗中尚存的战斗单位数作为连续的状态变量,以m(t)、n(t)表示在战斗开始后t时刻蓝方、红方在战斗中尚存的作战单位数,可用下列微分方程组来描述战斗过程中双方兵力随时间的损耗关系。
兰彻斯特平方律:
解此微分方程,不难得出以下结论:
在阵型充分展开,每个单位都能投入作战的情况下,交战一方的有效兵力,正比于其战斗单位数的平方与每一战斗单位平均战斗力的乘积。
换句话说:无额外限制条件下,近战兵力与数量的平方成正比,而与单位战斗力成线性关系。
容易算出:在单位平均战斗力大致相同的情况下,数量优势方剩余单位数为:
好的,回到游戏兵力计算,我们举两个例子,用于说明该兵力计算方法的可行性。
例1:四农民对战二哥布林强盗。预设双方均采用最优解,即集火单一目标,优先造成敌方减员,并假设我方处于不利后手,此后如无说明,将均采用此预设。
对战过程如下:
第一轮生命35,35,35,19vs50,10
第二轮生命35,35,35,3vs20
第三轮生命35,35,35vs0
战斗结束
我方剩余单位3,敌方全灭。
在第一节的分析已经表明:农民与哥布林强盗单位战斗力大致相同,于是直接带入剩余单位数公式,容易得出 m(3)= 3.464 . 由于我方处于不利后手,故而向下取整为3.若处于有利先手,则向上取整为4。 符合对战结果。
双方兵力对比为 :35*10*4^2 :50*8*2^2
即为:5600VS1600 差距悬殊,战斗一边倒
在游戏实战中,往往存在不同等级,战斗力的兵种并存战场,此时计算兵力和损失应遵循以下原则:
计算兵力时,单位战斗力应取平均单位战斗力,即
平均单位战斗力=各单位战斗力之和/单位数量
计算损失时,应采用平均数值计算交换比。
例2:4农民对战2哥布林强盗和1哥布林剑士
哥布林剑士的数值为103HP/13DPS
由上可得,4农民总战斗力为5600
敌方战斗力计算如下:
哥布林剑士单位战斗力为:103*13 = 1365
敌方平均单位战斗力为:(1365*1+400*2)/3 = 721.67
敌方兵力为:721.67*3^2 = 6495
预测我方战斗力约为对方的87%,敌方将惨胜。
略去战斗过程,直接给出结果:我方全灭,敌方哥布林剑士剩余45HP。敌方处于有利先手,但敌方剩余战斗力仍然不足全盛时的10%,可以认为该结果为惨胜。
大多数情况下,我们总是关心一场战斗的胜负,但为了验证我们模型的可靠性,我们利用公式计算剩余单位数,原先的剩余单位数公式是在单位战斗力接近的近似情况,已经不适用于目前的例2,因此,我们引入新概念。
敌方平均单位生命为 68.33 ,平均单位伤害为9.67
我方平均单位生命为 35.00 ,平均单位伤害为10.0
交换比指一个单位,对敌方造成的数量损失与敌方一个单位对我方造成的数量损失之比,公式如下:
交换比E:
容易得到下述结论:优劣势方交换比互为倒数
由此可得,例2中劣势方(我方)交换比为 (10/68.33)/(9.67/35)= 0.53
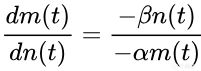
引入交换比之后,我们修正剩余单位数公式:
代入m = 2,E = 0.53,n=4,解得
m(t)=0.72,再乘上敌方平均生命值 ,得
49.1HP,非常接近哥布林剑士的剩余HP。
考虑到舍入误差,非线性误差,以及45和49.1均需要我方单位五轮输出50,可以认为计算结果符合实际需要。
最低系统需求
操作系统: Windows XP, Vista, 7, 8/8.1, 10, 11
处理器: 2.0 Ghz
内存: 2 GB RAM
显卡: 1Gb Video Memory, capable of OpenGL 3.0+ support (2.1 with ARB extensions acceptable)
存储空间: 需要 1 GB 可用空间






















共有 0条评论