PTC MathCAD Prime 9中文免费版是一款全新的功能强大的工程数学软件,也是目前一款能够让用户轻轻松松执行、分析、记录以及共享计算的数学软件,该软件允许您将面向格式化的文本、工程的数学记录、图形以及图像组合到单个文档中,这样就可以简化知识和联合工作的可视化、验证和文档化,同时还可以在一个具有专门格式的文档中通过绘图、图形、文本和图像来呈现您的计算。在这里该应用主要就是以工作表为中心,并且咋在工作表中,方程和表达式以相同的图形格式(所见即所得)创建和操作。而且利用mathcad prime可以使用户能够更好地将计算连接到其他应用程序和流程,并且还具有以文档为中心的所见即所得界面,这样用户就不需要学习新的编程语言就能求解、共享、重复使用和分析计算,其中最重要的就是,计算功能可以生成比电子表格准确得多的结果,以及帮助用户查找在计算中使用的单位中的错误,当你想要改变任何数字、变量又或方程的时候,也是会立即对文档中的所有数据进行重新计算,只需要使用它就可以轻松地将单位从一个系统转换到另一个系统哦。
除此之外,新版本ptc mathcad prime9.0相比于旧版本来说,进行了全面的优化增强以及添加了许多全新的功能,文本样式使您可以更好地组织工作表,而无需手动设置标题和副标题的格式, 只需使用适当的文本样式即可在整个文档中自动应用所需的文本格式,并在工作表上表示不同的区域,提供以客户为导向的功能和生产力增强功能,让您的工作效率比以往任何时候都高。但是最值得一说继续提供新符号引擎的强大功能,并且还对数字引擎进行了有价值的增强,使用户能够访问比以往更多的数学运算和功能,喜欢的朋友欢迎前来下载。
软件功能
1、多科学领域的覆盖
安全地传达设计意图和工程知识
使用标准数学符号直观地构建计算
利用实时数学运算、绘图、文本和图像创建专业品质的文档
赋予标准化计算新的用途
利用覆盖整个计算过程的完整单位支持来提高生产效率
通过即时访问电子教学内容提高培训和采用速度
2、改进 2D 绘图
该软件 提供了经过改进的 2D 绘图功能,故而您能够全面地自定义 2D 图表的外观和风格。您可以获得下列经过改进的格式化功能:
完整的多轴格式化
标题和图例
第二个 Y 轴
栅格线
自定义绘图外观和风格
3、内容保护
我们的工程计算是宝贵的公司资产。该软件 提供区域保护和锁定功能,这样您便可以控制访问权限的层级以及您想要为他人设定的可见性。使用它,安心地保护和共享您的工作。
4、无缝的互操作性
减少在应用程序之间进行切换以及尝试协调工作的时间。现在,您可以将其他应用程序中的内容嵌入 该软件工作表,您还可以将某一工作表中的多个区域复制并粘贴到 MS Word。
5、提高可用性
方程式换行意味着您的计算不会在页面的边缘消失。您甚至可以在输入的同时进行换行。
6、性能提升
拥有 100 多页的工作表?借助这一新版本,您可以更加轻松地创建、整理复杂的大型工作表并与之交互。
PTC MathCAD Prime 9中文免费版安装教程:
1、下载解压,得到PTC MathCAD Prime 9.0原程序+patch补丁文件;
2、进入patch\PTC.LICENSE.WINDOWS.2022-04-21-SSQ文件夹,运行FillLicense.bat;
3、生成PTC_D_SSQ.dat许可证文件,将生成的文件复制到软件安装目录。
一般安装目录默认【C:\Program Files\PTC】如果还有生成,可以先创建,后面安装时选择这个目录;
4、现在开始安装软件,找到Install目录下的“setup.exe”依提示进行安装;
5、安装完成后退出,再将patch目录下的Mathcad Prime 9.0.0.0文件夹中的文件复制到软件安装目录下替换;
6、运行软件,选择第三项;
7、输入服务器127.0.0.1,选择浏览找到软件安装目录下的Mathcad Prime.exe,点击配置许可证即可;
8、以上就是PTC MathCAD Prime 9.0的详细安装教程,希望对用户有帮助。
PTC MathCAD Prime 9.0新增功能
PTC Mathcad Prime 9 提供以客户为导向的功能和生产力增强功能,让您的工作效率比以往任何时候都高。
1、文本样式使您可以更好地组织工作表,而无需手动设置标题和副标题的格式。 只需使用适当的文本样式即可在整个文档中自动应用所需的文本格式,并在工作表上表示不同的区域。
2、内部链接和转到页面可以轻松浏览冗长的文档。 内部链接还有一个额外的好处,可以让您在整个工作表中连接您的笔记和计算以进行有效引用。
3、所有颜色选择菜单都得到增强,包括一个自定义颜色选择器,允许您突出显示文档的部分或使某些方程式或绘图以您想要的颜色突出。
4、现在可以在键入新区域时按空格键将其从默认数学区域转换为文本框。
5、PTC 继续提供新符号引擎的强大功能,并且还对数字引擎进行了有价值的增强,使用户能够访问比以往更多的数学运算和功能。
您现在可以使用梯度运算符,它返回标量函数相对于已定义变量的数值和符号梯度。
1、通过在求解模块中添加 PDESolve 函数,数值引擎得到了增强。
2、我们为常微分方程 (ODE) 启用了符号解。 您现在可以求解可简化为一阶系统的一阶 ODE 和高阶 ODE。
3、您现在可以使用查找函数在求解命令块内以符号方式求解方程组。
4、添加了新的对数积分函数和椭圆积分函数。
5、象征性使用的微积分运算符(例如导数、极限、积分和求和)已得到改进,并涵盖了扩展的用例。
6、扩展了几个符号关键字和函数的功能和用例。 例如,您可以使用 assume 关键字来指定关于函数结果的假设。
PTC MathCAD Prime使用教程
一、计算模板编制要求
1、模板必须在prime中定义输入输出别名
如下:首先选中输入/输出参数公式,然后点击菜单上的输入/输出,根据输入还是输出,点击按钮输入分配/输出分配,显示为列表,修改别名,比如修改某个输出为“抗浮安全系数”
PASS系统对模板解析后就会有参数名称了,如下图。否则就是out_1之类系统默认的,不具备识别性。
2、输入参数绝对不能有计算试
如果有公式(比如某个输入为a=3+2这种是不允许的),会解析错误,必须直接是值。
系统支持输入/输出类型为 real型、string型和组合框,即数值、字符(文本)和组合框(类矩阵),纯矩阵类型。
3、组合框编写要求
形式要像下图中这种。
要记得写标题,实际效果是只显示第一列;
第二列往后是数值的要写单位,字符(文本)的不用写单位。
其他形式暂未测试。
4、支持矩阵输入
带单位或不带单位均可。
矩阵带单位的时候,不允许矩阵与单位直接出现.号(即不能有乘号*)
矩阵中不能含有字符,全部必须是数值。
正确的矩阵带单位:
不正确的矩阵带单位:
5、支持矩阵输出
模板支持矩阵输出。
也可将矩阵输出转换为非矩阵输出。比如用max()函数取得最大值……。
6、关于输出精度和科学计数法
平台上的输入展示采用小数,输出位数4位以内采用小数展示,如果大于4位则采用科学计数法展示,科学计数法保持小数3位。
建议模板中:输入采用小数或科学计数法,输出采用科学计数法。因为输出的精度比较高,采用小数的话,会位数很多,不美观。
7、取消输入/输出
选中输入/输出参数公式,点击菜单上的……对应点击分配输入/输出即可取消或分配。
比如,选中 输入 后 点 分配输入,就会取消输入,再次点 分配输入,就会定义为 输入。
8、单位
mathcad中单位是自适应的,也就是你模板中自己的单位是协调的即可,PASS系统解析得到的基本是以m,N,Pa,kg的单位。
注意:PASS系统解析出来的单位永远都是国际标准单位,即使你的模板里怎么设置单位,都不起作用。
9、过程锁定规定,锁定密码规定
prime支持区域加锁和折叠,要是想保护计算过程,只要折叠加锁即可,打印出来的pdf文件就会隐藏折叠部分。
从长远来讲,不建议加锁,只要折叠即可。因为加锁的计算书,可能永远失去被别人修改的机会,造成资源损失。
10、其他
单一参数和矩阵参数规定,尽量一个模板提供这2种模式
配图和文字说明规定,强条规定,结果分析说明,案例,规范条款标注(可实现点击规范,跳转至cms的规范下载地)
流程整合规定,比如结构计算到配筋尽量完整
11、客户计算历史pdf计算书命名规则
平台采用时间纳秒来命名。
二、模板上传要求
1、必须满足命名要求
命名:年月日+模板名称+下划线+版本号,如:20210522beam_v1.0.0.mcdx ;20210522纯弯构件配筋裂缝计算v1.0.0.mcdx
注意是小写字母 v
版本控制规则:年月日需按最新的,版本号可修改小号中号和大号,规范变化要修改大号,小版本号超过9则进位到中号;中号和小号不需要连续,大号需要连续。
2、必须由本人上传一个同名的pdf文件
将作为计算书预览用。添加——添加pdf,注意,必须是和模板同名(当然,扩展名是pdf)
3、可以编写一个文章,对这个计算模板进行解释和说明
方便用户查阅了解。选中一个模板,添加——添加文章,输入标题,副标题,正文可上传图片。文章中可插入规范链接,电子规范请去规范上传和查询获得链接地址。
4、模板计算页面里,完善输入/输出的说明(备注),计算限值(如有),方便使用。
上传完模板后,进入计算页,完善备注信息和计算限值(如有)的填写。
5、模板列表页面尽量完善标签,方便检索到。
6、模板里尽量有封面、签署、扉页、目录等完善的结构
比如整体结构上,从(1)计算依据、强条——(2)输入参数——(3)计算过程和结果
三、常见模板编写问题
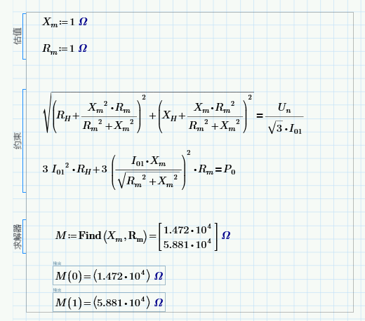
1、find()解方程的结果如何输出
答:用一个变量比如M:=find(x,y)=……,然后M(0)=的结果就是x,M(1)=的结果就是y。
2、如何输出类似“设计通过”这样的结果
答:用变量和if编程进行判断即可。
3、mathcad和prime的转换以及一些区别
prime提供转换工具。当然,mathcad如果加了密码,是转换不了的。
在矩阵取值上是有区别的。一个用下标,一个用括号。
ptc mathcad prime创建具有多个轨迹的绘图
1、定义下面的函数。插入绝对值运算符。
2、在绘图选项卡的轨迹组中,单击插入绘图,并选择 XY 绘图。随即显示一个空白绘图。
3、在绘图左侧或右侧的 y 轴占位符中键入 18。如有必要,可选择 y 轴图例并将其拖动到左侧。
4、在绘图底部的 x 轴占位符中键入 x。按 Enter 键或在绘图区域外单击。将显示一条直线轨迹。
您可以通过按 Tab 键或 Shift+Tab 从一个占位符移动到下一个占位符。请忽略此任务的单位占位符。
5、将光标置于 18 的右侧。单击添加轨迹。当前占位符的下方会出现一个新的 y 轴占位符。
当您将光标置于轴表达式最左侧的插入点处,然后添加轴表达式时,该轴占位符将出现在当前轴占位符的上方。
6、在 y 轴占位符中键入 16 - 0.05 x2。按 Enter 键。随即出现第二条轨迹。
7、插入另外两个 y 轴占位符,然后键入以下两个表达式。
8、要更改表达式 (如 y(x)) 的轨迹颜色,可单击表达式,然后在绘图选项卡的样式组中,单击轨迹颜色,并选择一种颜色。
轴表达式可以包含内置函数或用户定义函数。
y 轴表达式与 x 轴表达式的自变量必须相同。这里,自变量为 x。
可使用一个轴表达式来定义多条轨迹,例如:此绘图的 x 轴表达式。
软件特色
1、易用:友善的软件界面,多级计算模板定位,统一编制的编号和名称,便于记忆和查询。
2、效率:基于MathCAD强大功能的基础上编制计算模板,大大提高了生产效率,使用者只需要少量的操作,即可生成所需的结果。
3、全面:包含行业常用计算模板,省去大量的编制、校验的时间。
4、通用:按照统一要求,编制的计算模板,简单易懂,使用人员之间无障碍交流。计算模板准确使用一次后,可以分发给整个团队,节省重复生成公式的时间。
5、安全:计算书模板源文件不能修改,确保原始的模板公式的准确和安全性。
6、权威:模板软件通过专家组的校验认证,使计算模板具备准确性、高效性、权威性。













































共有 0条评论